А.Коньков. Происхождение и исчезновение хананеев по данным генетики

Хананеи- древние обитатели Леванта
Международная группа генетиков под руководством Марка Хабера и Криса Тайлер Смита из института Сэнгера в Кембриджшире поставила своей целью изучить вопрос происхождения и исчезновения ханаанеев — древних жителей Леванта, которые обитали в этом регионе около 4000-3000 лет назад. Территория, занимаемая этим народом (или группой родственных народов) была ограничена с севера Анатолией, с востока Месопотамией, с юга Египтом. Из Ветхого Завета известно, что ханаанеи были древними обитателями Леванта, обитавшими в этом регионе до расселения в нем израильских племен. История противостояния израильтян с ханаанеями, в ходе которого древние израильтяне победили ханаанеев и разделили их землю между 12 коленами, описана в книге Иисуса Навина.
«Вот, я разделил вам по жребию оставшиеся народы сии в удел коленам вашим, все народы, которые я истребил, от Иордана до великого моря, на запад солнца» (Книга Иисуса Навина 23:4)
Многое в происхождении и исчезновении ханаанеев тем не менее остается тайной в силу неполноты источников. Ханаанеи несомненно были связаны с местными народами, говорившими на западносемитских языках, но они в равной мере могут быть как потомками местного неолитического или энеолитического населения, жившего на данной территории с VIII тыс. до н. э., так и более поздними мигрантами с иных территорий.
Сидон — первенец Ханаана
Потомками ханаанеев, жившими в более поздние времена в приморской зоне современного Ливана, были древние финикийцы. Археологические данные свидетельствуют о непрерывном существовании в течение всего II тыс. до н. э. двух ханаанейских, а позже финикийских городов: Сидона и Тира [Katzenstein1973, Jidejian 1972]. На особое значение Сидона указывает и Библия, называя Сидон первенцем Ханаана (Бытие, 10,15). Клинописные таблички из Тель-Амарны упоминают о важной роли Сидона в противостоянии Египетской и Хеттской держав [Jidejian 1972].
Генетический материал из Сидона
Команда Марка Хабера и Криса Тайлер Смита смогла получить для полногеномного исследования антропологический материал из Сидона XVIII-XVII вв. до н. э. — т. е. эпохи, предшествующей противостоянию ханаанеев и израильтян. Выборка древней ДНК была дополнена данными 99 геномов современных ливанцев, также подвергнутых полногеномному анализу. Также в исследование были включены полногеномные данные по современному населению Ливана из более ранних статей.
Образцы современной ДНК были проанализированы с помощью методов секвенирования нового поколения на платформе Illumina HiSeq 2500, так, что каждый нуклеотид был прочитан 8 раз. Образцы древней ДНК, выделенные из височных костей, были проанализированы на той же платформе, таким образом, чтобы каждый нуклеотид ДНК из ядерной части генома был прочитан от 0,4 раз до 2,3 раз, в митохондриальной части генома — от 53 до 164 раз. Эти различия в точности расшифровки между ядерной и митохондриальной частью генома связаны с лучшей сохранностью митохондриальной ДНК в древних останках в целом. При сравнении геномов между собой в анализ было включено 1046317 однонуклеотидных замен (SNP), когда сопоставлялись геномы ханаанеян и современных ливанцев, и 546891 однонуклеотидных замен (SNP), когда в сравнении включились образцы из других популяций Ближнего Востока и других регионов мира.
Что рассказал о происхождении древнего населении Ханаана полногеномный анализ
Оказалось, что в пространстве двух главных компонент популяционной изменчивости образцы ханаанеев из Сидона перекрываются и занимают то же положение на графике, что и современные ливанцы. Это говорит о преемственности современного арабского населения Ливана с древним населением приморской зоны этой страны начиная с эпохи бронзового века.
Интересно, что положение выборки ханаанеян с морского побережья совпало с положением выборки населения из памятника Айн Газаль. Этот памятник находится во внутриматериковых областях Иордании и датируется бронзовым веком. Образцы из могильников Айн-Газаля были прежде собраны и проанализированы Иосифом Лазаридисом [Lazaridis и др., 2016]. Если эти выводы подтвердятся данными новых образцов, это может говорить о популяционном единстве всего региона в эпоху бронзы и позднего неолита. Возможно, в этот период генофонды финикийцев, аммонитян, моавитян и других западносемитских народов древнего Ханаана были очень близки, несмотря на географические барьеры между Заиорданьем и приморьем Ливана и совершенно разные условия обитания, которые должны были бы влиять на тип хозяйства и образ жизни.

Географическая локализация образцов древней ДНК, использованных при анализе.
Образцы древней ДНК ханаанеев из Сидона выделены на карте рамкой и красной надписью

Положение образцов древней ДНК из Леванта в пространстве двух главных компонент изменчивости древних ближневосточных и европейских популяций (по данным полногеномного анализа).
Серыми значками обозначены современные популяции (их подробное положение см. на предыдущем рисунке);
цветными значками обозначены выборки древних популяций:
образцы древней ДНК ханаанеян из Леванта, собранные в Сидоне (эпоха бронзы), обозначены треугольниками сиреневого цвета,
образцы древней ДНК из Леванта, соответствующие бронзовому веку Иордании — треугольниками сиреневого цвета,
образцы древней ДНК из Леванта, соответствующие эпохе неолита (культура докерамического неолита B) — квадратами оранжевого цвета,
образцы древней ДНК из Леванта, соответствующие Натуфийской культуре — ромбами оранжевого цвета

Положение современных популяций в пространстве двух главных компонент изменчивости древних ближневосточных и европейских популяций (по данным полногеномного анализа):
популяции Кавказа, Армянского и Иранского нагорья обозначены значками оранжевого цвета, Анатолии, Кипра, Леванта (включая еврейские популяции), Аравии — синим цветом, популяции Европы — зеленым цветом
Если эти выводы верны, то древнее население иорданской части Ханаана, в отличие от его приморской ливанской части, серьезно изменилось. Современные иорданцы сильно отличаются от современного населения Ливана и сближаются с саудийцами и бедуинским населением Ближнего Востока [Haber и др., 2013]. А учитывая, что ханаанское население Заиорданья эпохи бронзы было близко к ранним и современным жителям Ливана, оно должно было измениться в последующие века. Впрочем, для окончательного подтверждения этого вывода нужны дополнительные образцы и специальное моделирование.

Близость левантийских популяций между собой и по отношению к другим популяциям Западной Азии по данным полногеномных маркеров [Haber и др., 2013]
Полногеномные панели включают 240 тыс. однонуклеотидных замен (SNP)
Данные моделирования на основе f4 статистики показали, что среди всех современных популяций Леванта у ханаанеян из Сидона доля общих аллелей ближе всего к современным арабам-христианам Ливана. Также рассчитано, что геномы сидонских ханаанеев имеют больше общих аллелей с неолитическими жителями Ирана, чем геномы более ранних жителей Леванта эпохи неолита и мезолита. Это указывает на смешение ханаанеев с мигрантами из иранского региона после окончания эпохи неолита.
Результаты анализа, полученного с помощью алгоритма ADMIXTURE, совпадают с данными предыдущего метода анализа, хотя и выявляют некоторые дополнительные нюансы. В генофонде ханаанеев из Сидона и Айн Газаля присутствуют в примерно равном отношении 2 компонента: 1) характерный для ранненеолитического земледельческого населения Леванта, 2) характерный для неолитического и энеолитического населения Ирана. Это подтверждает вывод о смешении автохтонного левантийского населения с мигрантами с северных областей Ближнего Востока. Эти же компоненты присутствуют и в генофонде современных ливанцев, но интересно, что к ним добавляется третий компонент, характерный для степного населения Восточной Европы. У раннего населения Леванта он полностью отсутствовал.

Компоненты изменчивости, выявленные с помощью алгоритма ADMIXTURE у древнего и современного населения Ближнего Востока и Европы:
зеленый — для ранненеолитического земледельческого населения Леванта и Анатолии,
оранжевый — для неолитического и энеолетического населения Ирана.
голубой — для степного населения Восточной Европы эпохи неолита и бронзы,
сиреневый — для охотников-собирателей Западной Европы
Согласно данным третьего метода — алгоритма qpAdm — о популяциях современных ливанцев можно сказать, что их генофонд на 93% происходят от ханаанеян Сидона и на 7% от жителей степной зоны Восточной Европы.
Когда произошло смешение коренного населения Леванта с пришельцами из Ирана и Восточной Европы
Авторы исследования попытались подсчитать примерную дату выявленного смешения между древними древними земледельцами Леванта и мигрантами с помощью алгоритма ALDER. Оказалось, что она удалена от нас на 235-127 поколений, что при стандартном оценке возраста поколения в 28 лет, составляет 6500-3500 лет. Авторы сопоставляют этот момент с периодом упадка Аккадской империи. Эта империя охватывала практически всю Мессопотамию, включая и некоторые предгорные районы современного Ирана. Авторы, ссылаясь на археологические данные, указывают на то, что в период распада империи, сопровождавшийся пиком аридизации, значительная часть населения северных районов этой державы начала мигрировать из северных областей на юг [Weiss и др., 1993].
Однако такую трактовку надо рассматривать с осторожностью. Широкий временной интервал допускает и иные интерпретации. Так, на территорию Леванта могли мигрировать и носители традиций Хирбет-Керакской культуры, которая была родственна Куро-аракской культуре Закавказья, Восточной Анатолии и северного Ирана и распространялась со стороны Армянского нагорья в Сирию и Палестину 4700 лет назад. Согласно исследованию Иосифа Лазаридиса, в генофонде населения раннего бронзового века Армении преобладает тот же компонент, что и у неолитического населения Ирана. Все эти факты вместе накладываются на выявленную биоинформатическим моделированием схему смешения коренных левантийцев с носителями иранского неолитического компонента [Lazaridis и др., 2016]. Версия их смешения с носителями Хирбет-Керакской культуры выглядит довольно убедительно. Но для ее подтверждения опять же нужны дополнительные данные и анализ.
Время смешения предков ханаанеян Сидона с населением, близким к степным жителям Восточной Европы, определяли c помощью алгоритма qpAdm. Оно произошло в период от 3700 до 2100 лет назад. Популяция, с которой происходило смешение, не обязательно должна быть какой-то группой восточноевропейских мигрантов, непосредственно переселившейся в Левант из причерноморских степей. Оно могло произойти и опосредовано — через какую-то популяцию, которая смешалась с переселенцами из Восточной Европы где-то в северных районах Ближнего Востока, а затем передала этот компонент в генофонд жителей Восточного Средиземнорья. В любом случае, источник этого компонента пока не может быть установлен.
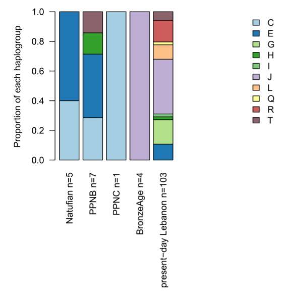
Рассказ Y-хромосомы и митохондриальной ДНК
Также в рамках работы были получены данные и по однородительским маркерам. Митохондриальная ДНК ханаанеев из Сидона обладала уникальными гаплотипами гаплогрупп N1a3a, HV1b1, K1a2, R2, H1bc, распространенным у современного населения Леванта. Эти гаплотипы, будучи очень близки в родственном отношении гаплотипам современного населения, в настоящее время либо не встречаются, либо не выявлены в генофонде.
Двое мужчин (остальные 3 костяка из ханаанских погребений принадлежали женщинам) оказались носителями двух ветвей Y-хромосомные гаплогруппы J: J1-P58 и J2-M12. Гаплогруппа J-P58 широко распространена на Аравийском полуострове, происходя из ареала горных систем Тавра и Загра [Chiaroni и др., 2010]. Гаплогруппа J-M12 широко распространена на широкой территории от Балкан до Индостана [Singh и др., 2016].
В отличие от полногеномных маркеров, данные однородительских маркеров не позволяют сделать какую-либо внятную оценку на небольших выборках. Объем выборки древней ДНК из Леванта исчисляется несколькими образцами. В случае Y-хромосомы объем выборки еще меньше: натуфийская культура предоставляет 5 образцов, культура докерамического неолита B — 7 образцов, культура докерамического неолита C — 1 образец, выборка бронзового века из Сидона и Айн-Газаль — 4 образца. Поэтому нижеприведенная таблица является не более чем перечислением обнаруженных вариантов в исследуемой выборке и не может быть материалом для каких-либо достоверных интерпретаций.
Частота Y-хромосомных гаплогрупп в выборках древнего и современного населения Леванта:
PPNB — культура докерамического неолита B, PPNC — культура докерамического неолита C, Bronze Age — выборка из Ливана и Иордании
Y-хромосомные варианты ханаанеев из Сидона появляются при переселении северных мигрантов
Несмотря на это, следует обратить внимание, что Y-хромосомные варианты ханаанеев из Сидона относятся к вариантам либо распространенным в северной части региона, как J2-M12 [Singh и др., 2016], либо, будучи распространены на юге, как J1-P58 [Chiaroni и др., 2010], — имеют, тем не менее, северное происхождение. Авторы исследования отмечают, что эти варианты отсутствуют в образцах раннего населения Леванта: они не обнаружены ни в могильниках натуфийской культуры, ни в образцах культуры докерамического неолита B и С [Lazaridis и др., 2016]. Это, как кажется авторам, делает обоснованным заключение, что эти гаплогруппы появляются у населения Леванта во время упомянутого эпизода переселения северных мигрантов из Армянского или Иранского нагорья 6500-3500 лет назад.
С этим утверждением, однако, трудно согласиться — по крайней мере, в случае гаплогруппы J1-P58. Согласно оценкам, сделанным по результатам изучения современного населения, она появилась в Аравии и Леванте в раннем голоцене 11-8 тысяч лет назад [Chiaroni и др., 2010] и могла вторично распространятся обратными миграциями на территорию Сирии и Палестины из внутриматериковых районов. Отсутствие этих гаплогрупп в выборках из 5-7 образцов никак не может быть основанием для таких смелых интерпретаций.

Расселение носителей гаплогруппы J1-P58 на территории Аравии, Леванта и других регионов Ближнего Востока [Chiaroni и др., 2010]
Цифрами указаны время событий миграции в тысячах лет назад.
Красные стрелки обозначают более ранние миграции, черные стрелки — более поздние.
Как выглядели древние ханаанеи и какими болезнями они страдали?
При анализе аутосомных локусов генома, отвечающих за пигментацию (SLC24A5, SLC45A2, HERC2), было установлено, что древние ханаанеи из Сидона и современные ливанцы имели схожий смуглый оттенок кожи, коричневые глаза, но волосы древних ханаанеев были несколько темнее, чем у современных арабов Ливана.
Интересно, что и у древних, и у современных обитателей Ливана обнаружены одни и те же вредные аллели наследственных заболеваний: ахондроплазия, бета талассемия, синдром Блума, кистозный фиброз, рак груди и яичников, гиперлипидемия, анемия Фанкони, семейная средиземноморская лихорадка, некоторые наследственные дефекты метаболизма A. Также имеются аллели, провоцирующие развитие болезни Крона, сахарный диабет второго типа, инфаркт миокарда, ожирение. Следовательно, эти аллели существовали здесь уже в древности — как минимум со II тыс. до н. э.
Заключение
Благодаря данным генетики ученые приблизились к разгадке еще одного древнего народа. Реконструкцию истории ханаанеев можно наглядно представить по следующей схеме:

Реконструкция происхождения древнего населения Ханаана и современных жителей Ливана
KYA — время в тысячах лет назад
CHG — палеолитические охотники-собиратели Кавказа из Грузии, WHG — охотники собиратели Западной Европы, EHG — охотники собиратели Восточной Европы, _N — Неолит, ChL — энеолит (халколит), BA — бронзовый век, EMBA — ранний и средний бронзовый век
Древнее население Ханаана эпохи бронзового века происходит частично от древних местных обитателей Леванта, которые восходят еще к населению натуфийской культуры, частично — от северных мигрантов, двигавшихся на территорию Леванта со стороны Армянского или Иранского нагорий. Время этой миграции и смешения между автохтонами региона и переселенцами датируется широким временным интервалом 6500-3500 лет назад. Оно может быть связано с притоком населения в Палестину из северных областей Аккадской империи после ее упадка и иссушения климата (как считают авторы исследования); или быть связано с миграциями носителей Хирбет-Керакской культуры из Закавказья и Восточной Анатолии (что нам кажется более убедительным), или же являться результатом какого-то иного переселения населения в тот период.
С тех пор основа генофонда ханаанеян сохранилась практически без изменений, испытав лишь небольшое дополнительное влияние восточноевропейского компонента в эпоху железного века (3700-2100 лет назад). Но оно внесло в генофонд ханаанеян не более 7%. Связанная с этим восточноевропейским компонентом группа населения пока не идентифицируется.
Поначалу все население древнего Ханаана — как в приморских областях Сидона, так и засушливых внутриматериковых областях Заиоорданья — было близко между собой. Но в последующее время его генофонд в Иордании изменился — вероятно, за счет миграций из Аравии или внутренних районов Сирии. В приморской зоне Ливана он сохранился в практически неизменном виде вплоть до наших дней, исключая ограниченное влияние крестоносцев на христианские популяции Ливана в средние века [Zalloua и др., 2008].
Древние ханаанеи болели теми же наследственными болезнями, что и современные ливанцы, имели тот же самый цвет кожи и глаз, но, возможно, имели более темные волосы.
Теперь остается ждать новых данных по древней ДНК этого региона, которые позволят пояснить многие нерешенные в данной работе вопросы.
Написано по материалам публикации
Marc Haber, Claude Doumet-Serhal, Christiana Scheib, Yali Xue, Petr Danecek, Massimo Mezzavilla, Sonia Youhanna, Rui Martiniano, Javier Prado-Martinez, Michał Szpak, Elizabeth Matisoo-Smith, Holger Schutkowski, Richard Mikulski, Pierre Zalloua, Toomas Kivisild, Chris Tyler-Smith. Continuity and admixture in the last five millennia of Levantine history from ancient Canaanite and present-day Lebanese genome sequences // The American Journal of Human Genetic. -Vol. 101, Issue 2. — P. 274–282.
Использованная литература
- Chiaroni J. et al. The emergence of Y-chromosome haplogroup J1e among Arabic-speaking populations // Eur J Hum Genet. — 2010. — Т. 18. № 3. — P. 348–353.
- Haber M. et al. Genome-Wide Diversity in the Levant Reveals Recent Structuring by Culture // PLoS Genet. — 2013. — Т. 9. № 2.
- Lazaridis I. et al. Genomic insights into the origin of farming in the ancient Near East // Nature. — 2016. — Т. 536. № 7617.
- Singh S. et al. Dissecting the influence of Neolithic demic diffusion on Indian Y-chromosome pool through J2-M172 haplogroup // Sci. Rep. — 2016. — Т. 6. № October 2015. — P. 19157.
- Weiss H. et al. The Genesis and Collapse of Third Millennium North Mesopotamian Civilization. // Science (80-. ). — 1993. — Т. 261. № 5124. — P. 995–1004.
- Zalloua P. A. et al. Y-Chromosomal Diversity in Lebanon Is Structured by Recent Historical Events // Am. J. Hum. Genet. — 2008. — Т. 82. № 4. — P. 873–882.
- Katzenstein H. J. The History of Tyre. From the beginning of the second millenium B. C. E. until the fall of the Neo-Babylonian empire in 538 B. C. E. — Schocken Institute for Jewish Research of the Jewish Theological Seminary of America, 1973.
- Jidejian N. Sidon Through the Ages. — Beirut, 1972.
На верхнем фото: хананеи приносят дань египетскому фараону, фреска эпохи Нового царства
Подпишитесь на наш телеграм-канал https://t.me/history_eco
Leave a reply
Для отправки комментария вам необходимо авторизоваться.





